跳转至

XGBoost

推导 XGBoost 中的结构分数以及理解它对于构建 XGBoost 模型的作用。转载一篇写得非常棒的介绍 XGBoost 的文章,真正的通俗易懂。

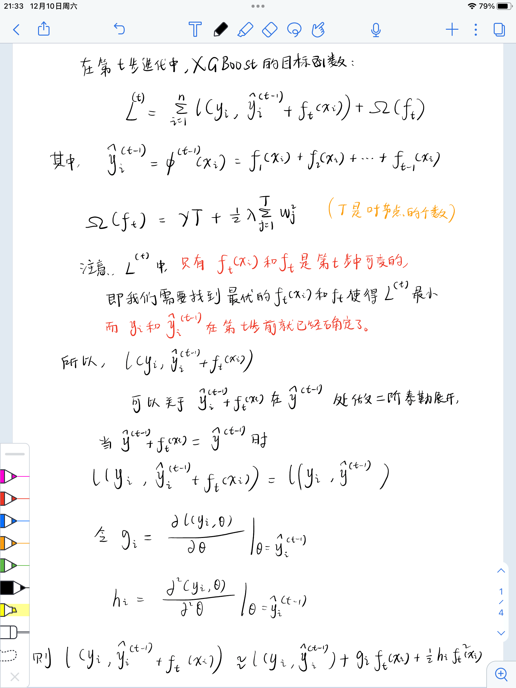
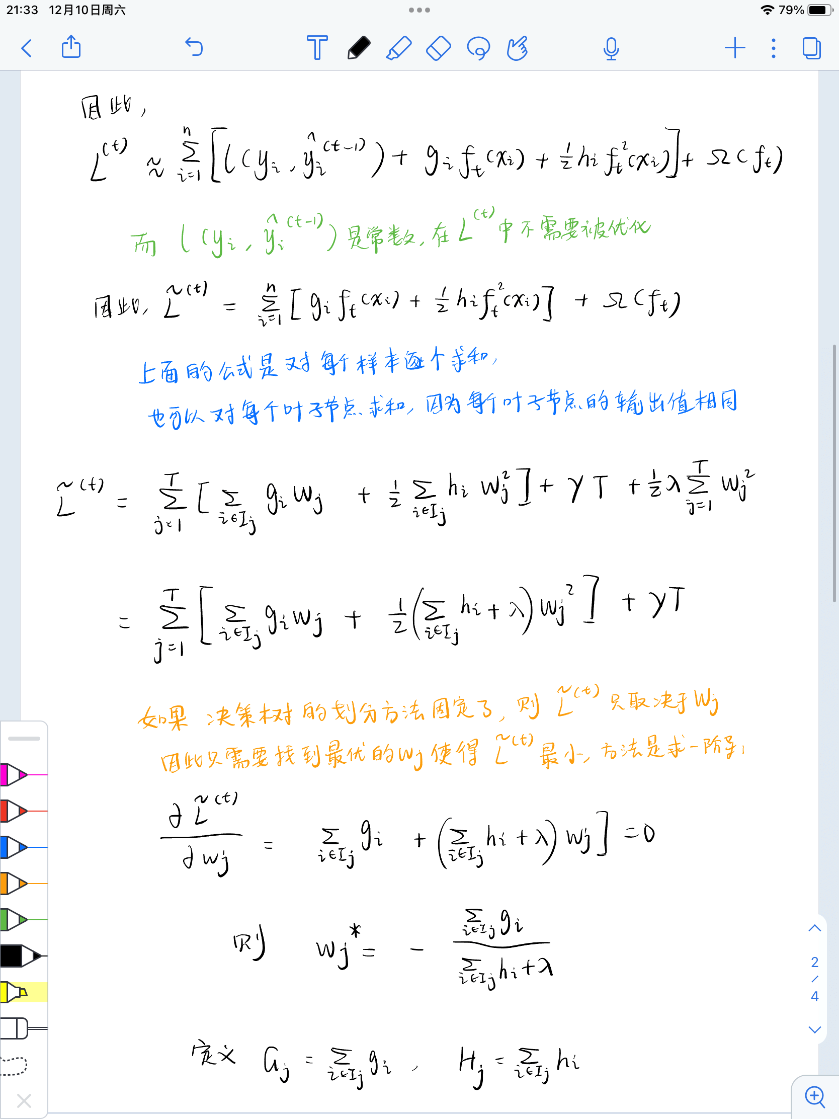
XGBoost 中的结构分数

image-20221210213804467

image-20221210213820017

image-20221210213827756

学习资料

转载一篇写得非常棒的 XGBoost 文章,真正的通俗易懂。

文章作者是一家人工智能在线教育机构的创始人,向他热心的分享致敬。

引用一句文章中特别喜欢的一句话:

当你学习某个知识点感觉学不懂时,十有八九不是你不够聪明,十有八九是你所看的资料不够通俗、不够易懂。

评论