跳转至

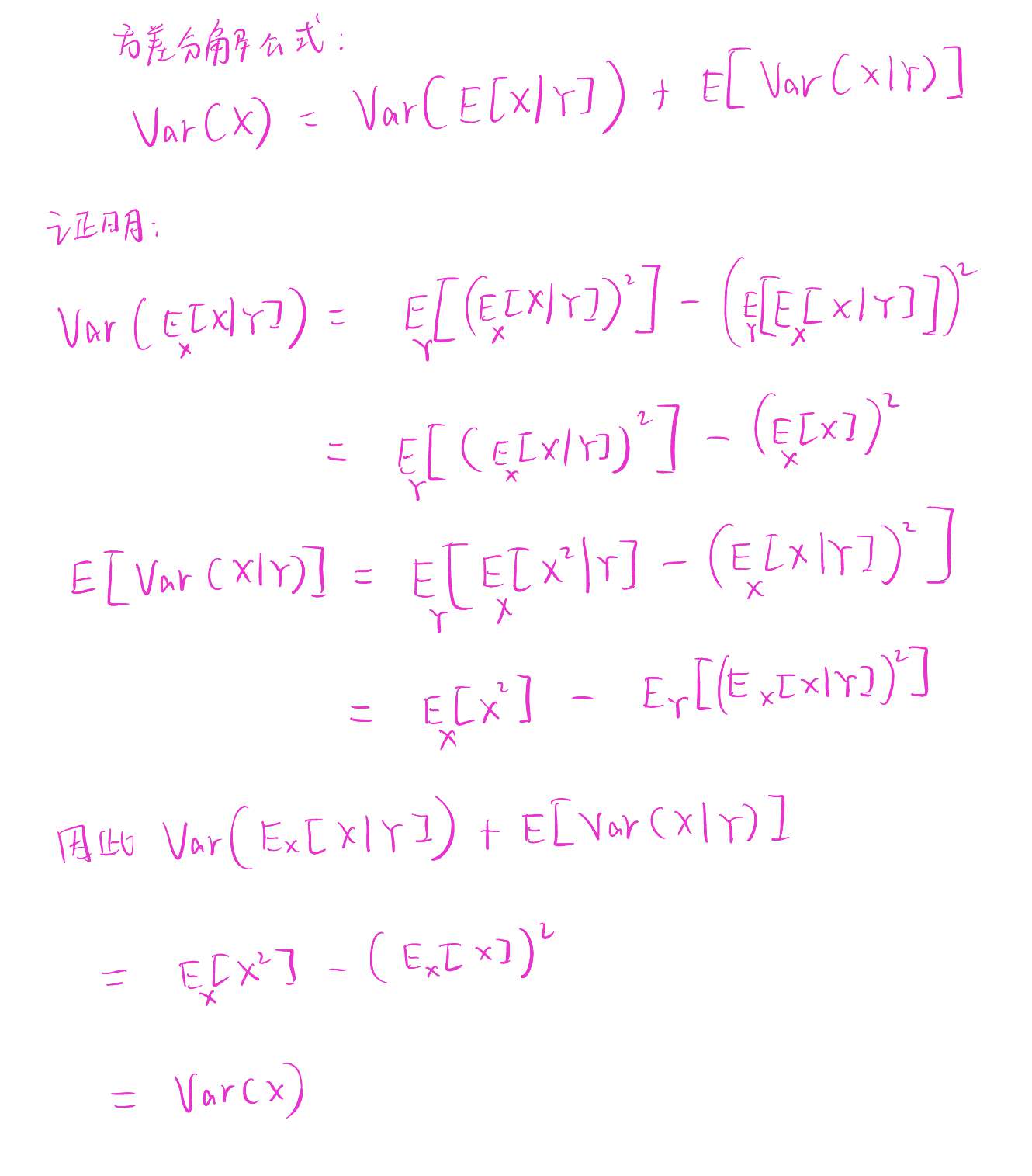
方差分解公式

应用重期望公式,证明方差分解公式。 $$ \operatorname{Var}(X)=\operatorname{Var}(\mathrm{E}[X \mid Y])+\mathrm{E}[\operatorname{Var}(X \mid Y)] $$

方差分解公式

评论