跳转至

支持向量机软间隔最大化的对偶函数及其 KKT 条件

推导软间隔下的 SVM 的对偶函数及其 KKT 条件,得到最优分类超平面的参数求解公式。

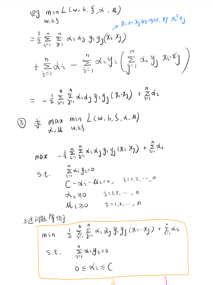
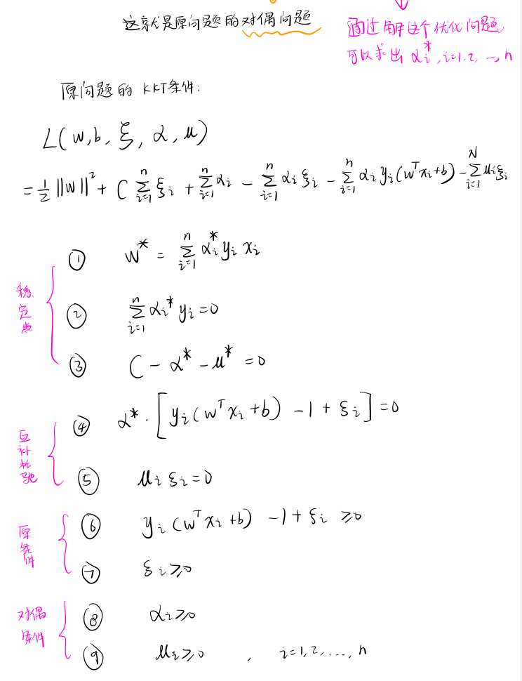
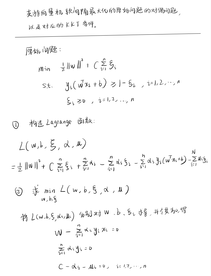
公式推导

本文推导了软间隔下的 SVM 的对偶函数及其 KKT 条件。

更多关于 SVM 的知识可参考 这篇帖子

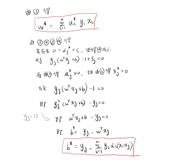
image-20221118224604884

image-20221118224648525

image-20221118224714030

image-20221118224728170

评论