为什么 P 值是均匀分布的?¶
在学习多重假设检验时,提到了“P 值是均匀分布的”这个结论。本文对“单边检验”和“双边检验”的情形,证明了 P 值是均匀分布的。
直觉理解¶
直觉理解
以单边左侧检验为例(单边检验最好理解,不用考虑两侧的情况),可以这样想:
P 值小于 \(0.25\) 意味着什么?意味着观测到的统计量要小于 \(0.25\) 分位数。
观测到的统计量小于 \(0.25\) 分位数的概率是多少?就是 \(0.25\)。
也就是说,P 值小于 \(0.25\) 的概率就是 \(0.25\)。
把 \(0.25\) 换成任何一个 \(0\) 到 \(1\) 之间的值,都可以得到:P 值小于某个数的概率就是这个数本身。这就是均匀分布。
证明¶
单边检验¶
https://statproofbook.github.io/P/pval-h0 给出了单边检验时的证明:

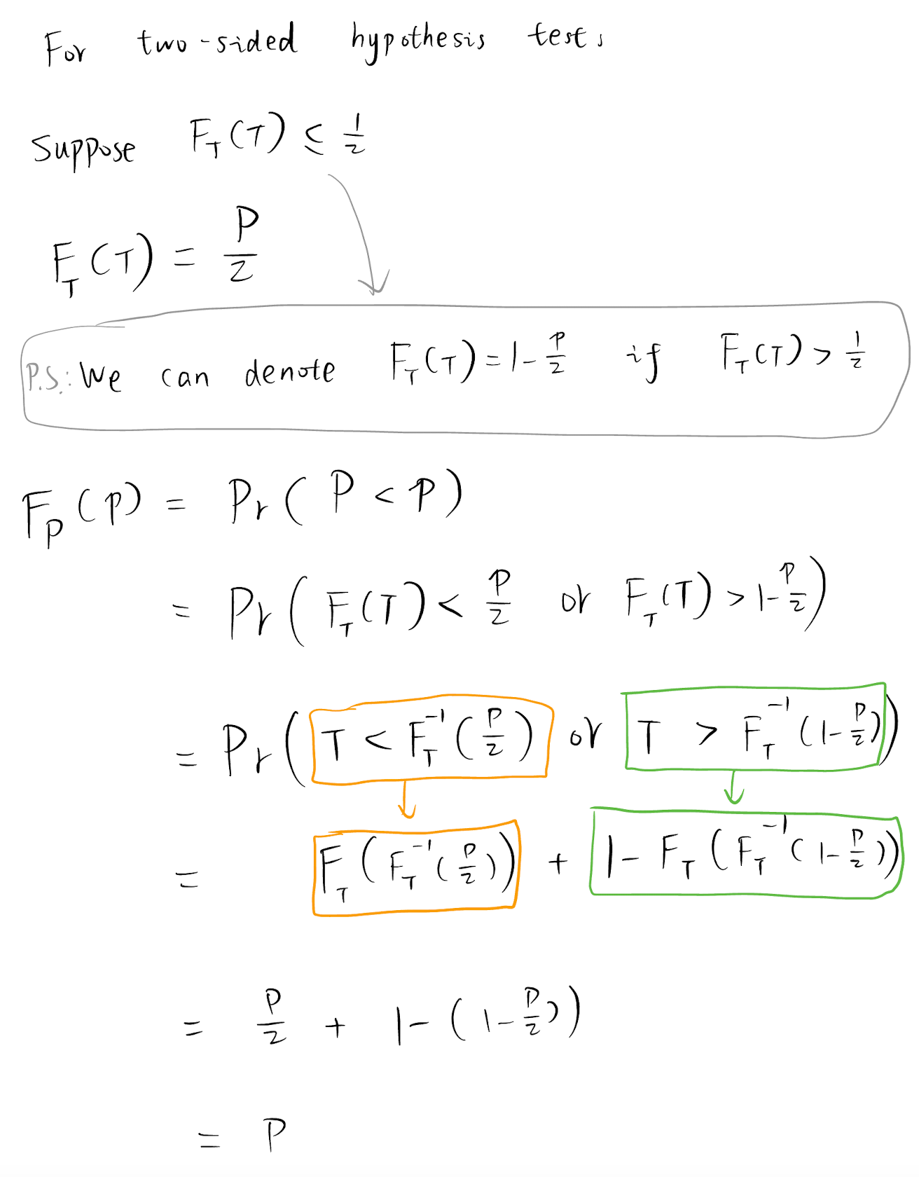
双边检验¶
参照同样的思路,我给出了双边检验时的证明:
