跳转至

Box-Muller 变换法生成正态分布随机数

Box-Muller 变换是一种采样方法,它通过服从均匀分布的随机变量,来构建服从高斯分布的样本。

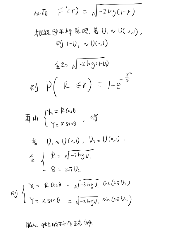
变换法生成随机数

image-20221127005246164

image-20221127005256008

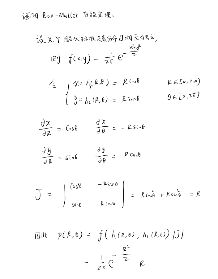
Box-Muller 变换的理论推导

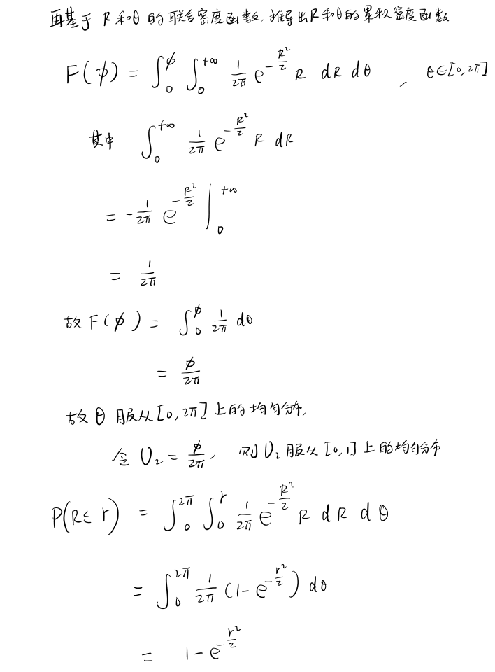
image-20221127005213938

可以参考 这篇帖子

image-20221127005111640image-20221127005119417

image-20221127005131315

评论